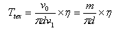
根據摩擦紡紗的加捻原理,成紗外層的捻度可以由下列公式計算:

由于紗條表面速度應等于塵籠的表面線速度與加捻效率的乘積,所以上式又可等為:

式中υ0——塵籠表面速度(mm/min);
υ1——紡紗速度(m/min);
d ——紗條直徑(mm);
η——加捻效率,與塵籠對須條的吸力,塵籠與紗條表面的接觸狀態有關;
m——摩擦比,即塵籠表面速度與紡紗速度的比值。
由上式可知,影響摩擦紡成紗的主要工藝參數有:
(一)摩擦比 從上式中可知,摩擦比與紗條的捻度成正比,當紡紗速度一定時,提高摩擦比,則增大了塵籠轉速,使成紗捻度增加,但塵籠速度增加到一定值時,受離心加速度的影響,紗條與塵籠間的滑溜率增大,塵籠速度愈高,加捻效率愈低,成紗捻度增加甚少,甚至不再增加,如圖9-4-5所示。
不同的摩擦比時,成紗的條干不同,如表9-4-3所示,從圖和表中可以看出,隨著摩擦比的增加,成紗的捻度增加,條干均勻度有所改善,但當摩擦比提高到3.0以上時,捻度和條干值的變化趨于平緩。
表9-4-3 摩擦比與成紗條干CV值

(二)紡紗速度 過高的輸出速度,會使須條凝聚加捻的時間縮短,從而導致包覆惡化,條干不良,成紗強力降低,所以,當使用較粗硬,含油率較高,長度整齊度較差的纖維紡紗時,紡紗速度不宜過高,當所紡品種線密度大時,因其剛性大而不易加捻,當線密度過小時,塵籠對紗條的握持狀態差,因此紗條過粗過細,都會造成加捻效率下降,所以紡紗速度都不易過高。
由于過高的塵籠速度會影響紡紗的加捻效率,因此,在摩擦比不變的情況下,提高紡紗速度,成紗捻度會隨之下降,所以紡紗速度應根據塵籠轉速的高低來選擇,不同的紡紗機,其速度范圍不同,
[1][2]下一頁>>
相關信息 







推薦企業
推薦企業
推薦企業